Consiliul Județean împarte banii către primării!
Pe ordinea de zi a ședinței de mâine se află proiectul de hotărâre privind repartizarea pe unităţi administrativ-teritoriale a sumelor defalcate din taxa pe valoarea adăugată pentru echilibrarea bugetelor locale şi a sumelor alocate din cote defalcate din impozitul pe venit pentru echilibrarea bugetelor locale pe anul 2017 şi a estimărilor pentru anii 2018-2020.
Fără probleme din partea opoziției, Moldovan se dă băiat bun și zice că NU face politică, ci administrație și împacă pe toată lumea!
„Vineri o să ne vedem la Consiliul Județean când vom repartiza sume pentru echilibrarea bugetelor locale… cuantumul ăla de 20% care revine Consiliului Județean. Eu vreau să spun că NU le repartizez eu. Le-am cerut colegilor mei să-mi găsească o formulă de calcul care să-mi stea în picioare atunci când eu o spun public sau în altă parte. Banii ăștia NU sunt nici de la PSD nici de la Radu Moldovan… sunt bani publici și noi avem obligația să găsim soluții și formule prin care să facem ceea ce a gândit legiuitorul.” a declarat Radu Moldovan, la vizita ministrului Dezvoltării Sevil Shhaideh.
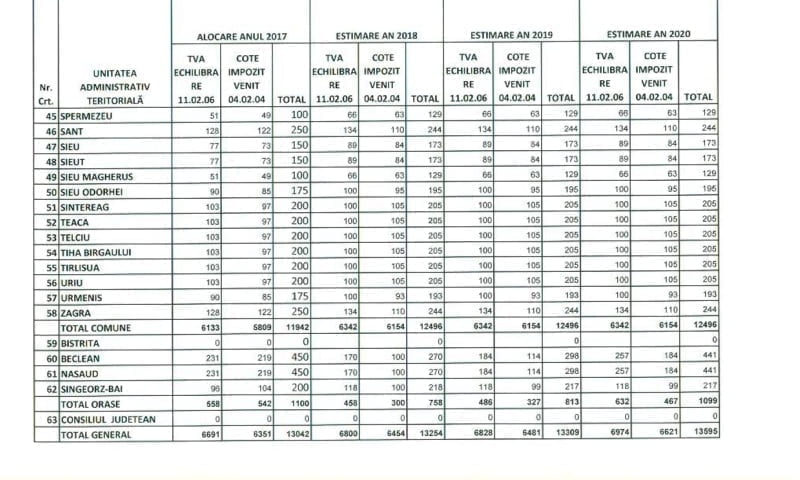
Vezi câți bani ia fiecare primărie:
Ședința extraordinară va avea loc vineri, 3 martie de la ora 12.


